Algebra or "Parts"

curicuri

New member
Joined
May 30, 2019
Messages
30
Hi, have someone time to help me?

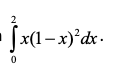
Problem
Integrate the following
12428

Solution

12427

My question
When I first saw this I was a bit perplex because I just learned integration by parts and started to that but got lost in the process unfortunately. First of all, if one do this by "integrating by parts" will it give the same answer as the correct answer?
Secondly, when getting this problem in front of you how do you best determine how to derive the primitive function?
 
Your post should have been posted under "Calculus," not here. Also, I don't know why you labeled it "Horizontal asymptote."

You repeated a step. Instead of that repeated step is, the equivalent of the following step needs to be in its place.

\(\displaystyle \displaystyle\int_0^2(x - 2x^2 + x^3)dx\)

Please do not try this by integration by parts, because it too much extra work. Wait till you get (or make up a problem)
with the (1- x) having an exponent of 3 or larger. Yes, by integrating by parts, it will give the same answer. I just did it
two different ways by integration by parts.

Although it's relatively easier to let u = x and work out du, but then it is relatively more difficult/time-consuming to let
dv = \(\displaystyle (1 - x)^ndx \ \ \) and work out v, where n > 2.
 
Last edited:
Oh I am sorry! Dont know how to change this now afterwards though?

Ok I had a feeling that integrating by parts would perhaps be a bit overambitious for this problem, but anyway it was good to talk it out with someone. Appreciate your help!
 
First of all, if one do this by "integrating by parts" will it give the same answer as the correct answer?
This question motivated me to pipe in. Please note my signature.

[math]\int\;x\cdot(1-x)^2\;dx = \int (1-x)^{2}\;d\left[\dfrac{x^{2}}{2}\right] = \dfrac{x^{2}}{2}\cdot (1-x)^2 - \int \dfrac{x^{2}}{2}\;d\left[(1-x)^{2}\right] = \dfrac{x^{2}}{2}\cdot (1-x)^2 + 2\cdot\int \dfrac{x^{2}}{2}\cdot(1-x)\;dx[/math]
You can do it any way you want. In this case, have we actually gotten anywhere? It still needs about the same algebra you would have done in the first place. The question is, if we're not forced into a certain method (by way of examination topic, perhaps), there is no need to make your life terrible. Do it the easiest way that comes to mind. Keep ALL methods in your bag of tricks. Don't forget your algebra. (Also, don't forget your geometry or trigonometry, but that is not on point for this problem.) And don't EVER worry about valid methodologies producing different answers. Just keep the definitions and assumptions strictly heeded.
 
Last edited:
Top