D
Deleted member 4993
Guest
OP has "a, b & c" as unknowns. Where did "d & e" come from?That is my mistake, the constraints I need to find are of a, b, c, d, and e
OP has "a, b & c" as unknowns. Where did "d & e" come from?That is my mistake, the constraints I need to find are of a, b, c, d, and e
Actually, we haven't ever been given the actual wording of a problem; this may be part of a larger problem, and not necessarily well understood. Certainly the wording we have contributes to the impression that the goal would be to have two critical points, for which we'd expect an inequality constraint.
Solving for actual values clarifies the "constraint"! (As I read it, the lack of a constraint on c would also be part of the answer!)
@hajfajv, can you show us the entire problem you are working on (both in the original language and a translation, if it is not in English)? That will help us know what you really need.

oh I wrote them from the problem above in my book, whoopsOP has "a, b & c" as unknowns. Where did "d & e" come from?
So we are talking about the generic cubic functionI don't understand line three of the equations, where does the greater then or equalsign come from?
I assume you realize that dividing as you did doesn't "get rid of a"; it results in a non-equivalent equation! The correct way to "get rid of a" is to subtract, as you now realize, because you need to "undo" an addition.oh I can just subtract 2a, I divided like I was just getting rid of [imath]a[/imath], thanks this should clear this up
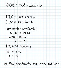
Good. So the answer to the question "what requirements must be imposed on a, b, and c" is that [imath]a=-6, b=9,[/imath] and c can be any real number. Correct?Now I found the constraints for [imath]a[/imath] and [imath]b[/imath] to be [imath]-6[/imath] and [imath]9[/imath] respectively.
View attachment 31757

Sure c can be whatever. Also I'm not used to graphing, for this class there are no calculators of any kind.Good. So the answer to the question "what requirements must be imposed on a, b, and c" is that [imath]a=-6, b=9,[/imath] and c can be any real number. Correct?
And, of course, we can check it. We have [imath]f(x) = x^3-6x^2+9x+c[/imath]:
View attachment 31758
There I took [imath]c=-3[/imath]. For other values, the graph shifts up and down.
The graph is not for doing the work, but for showing that you got it right (and maybe make it clear after the fact what the problem is about). Desmos.com, which I used, is very helpful outside of class as a learning aid (though not as a crutch).I'm not used to graphing, for this class there are no calculators of any kind.