Graphing a Hyperbola

Juri

New member
Joined
Nov 14, 2019
Messages
27
Hello, I missed the discussion for this lecture in class and was hoping someone would be kind enough to help me understand the just graphing section! It’s funny how I am able to solve the problem but is confused with graphing...

Question: There is a fixed point F (1 , 0) and a fixed line L : x = - 1. Draw a perpendicular line PH from point P until the fixed line L, and find the trajectory of point P that would satisfy this.
Aim: If the eccentricity is √2, find the equation of the trajectory.

Solution:
Let the coordinates of point P be (x , y) and express this using the coordinates PF = √2 PH.

Sample answer:
If the coordinates of point P are (x , y), that would mean H (-1 , y) ---> PF = √(x - 1)^2 + y^2, PH = |x + 1|. If you substitute this conditional expression from PF = √2 PH, it will become √(x -1)^2 + y^2 = √2|x + 1|.

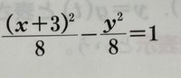
Square both sides and arrange it and it would then become x^2 - y^2 + 6x + 1 = 0.

Therefore, (x + 3)^2 / 8 - y^2 / 8 = 1.

Therefore, the trajectory of the point is

Hyperbola = (x + 3)^2 / 8 - y^2 / 8 = 1



B2A0BEAF-D6CF-40FC-9CB1-CABD1E70252E.jpeg



FC793FF3-76CB-4B8D-9DD7-B95A7986B58B.jpeg
I’m confused because if you apply the rules in graphing a hyperbola, aren’t the vertices supposed to be + or - √8 since a^2 = 8 ; a = √8? I don’t understand how it became + or (-) -3+2√2... From that answer I can understand it is not equivalent to √8.

Thank you for your time.
 
The (x+3) indicates a transformation of 3 units to the left.

Note also that \(\displaystyle \sqrt{8} = 2\sqrt{2}\).

Does that help?
 
Hello, I missed the discussion for this lecture in class and was hoping someone would be kind enough to help me understand the just graphing section! It’s funny how I am able to solve the problem but is confused with graphing...

Question: There is a fixed point F (1 , 0) and a fixed line L : x = - 1. Draw a perpendicular line PH from point P until the fixed line L, and find the trajectory of point P that would satisfy this.
Aim: If the eccentricity is √2, find the equation of the trajectory.

Solution:
Let the coordinates of point P be (x , y) and express this using the coordinates PF = √2 PH.

Sample answer:
If the coordinates of point P are (x , y), that would mean H (-1 , y) ---> PF = √(x - 1)^2 + y^2, PH = |x + 1|. If you substitute this conditional expression from PF = √2 PH, it will become √(x -1)^2 + y^2 = √2|x + 1|.

Square both sides and arrange it and it would then become x^2 - y^2 + 6x + 1 = 0.

Therefore, (x + 3)^2 / 8 - y^2 / 8 = 1.

Therefore, the trajectory of the point is

Hyperbola = (x + 3)^2 / 8 - y^2 / 8 = 1



View attachment 15256



View attachment 15257
I’m confused because if you apply the rules in graphing a hyperbola, aren’t the vertices supposed to be + or - √8 since a^2 = 8 ; a = √8? I don’t understand how it became + or (-) -3+2√2... From that answer I can understand it is not equivalent to √8.

Thank you for your time.
You found:

x^2 - y^2 + 6x + 1 = 0.

The center of the hyperbola is at x = -3 (instead of usual x = 0). So the vertices are at x = -3 \(\displaystyle \pm \sqrt{8}\)
 
Everything makes sense now! Thank you so much for helping me figure it out!?
 
The reason why I was confused was probably because I am used to writing the coordinates that instead of -3 (+)(-)2√2 like we have here, I used to put
(-3 , (+)(-)√8). I am ashamed not having noticed something that should’ve been obvious ? Thank you so much!
 
Top