GilgameshProject
New member
- Joined
- Feb 18, 2023
- Messages
- 15
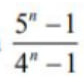
Can an expression
be a natural number, if n is natural? This seems so easy, but I've hit a brick wall for some reason. I understand that the nominator can be divided by 4 due to one of the results of Bézout's theorem, and for the same reason denominator is dividable by 3, but I can't seem to advance any further in solving the problem. Pls help me!
