daniel8851
New member
- Joined
- Jun 29, 2024
- Messages
- 4

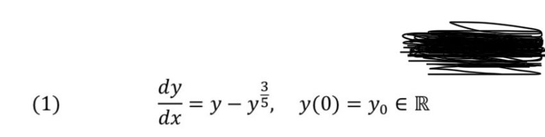
A. Find all the solutions.
B. For which values of y0 does the solution defined on the entire real line not exist? What is the maximum domain in which a solution exists in this case?
C. For what values of y0 does more than one solution pass through the point (0,y0)? Write down all the solutions that go through it in this case.
D. Each point y0 through which a fixed solution passes is called a fixed point. Find the setpoints and determine whether they are stable/asymptotically stable solutions.
Hello everyone,
I need some help with this question. And I would also be happy if someone could tell me if my answers are correct. I could answer A, B, and C, but I'm unsure I understood B.
for A the solutions were :y1=0 , y2=-1, y3=(Ce^(2x/5) +1)^(5/2).I omitted y=1 as a solution because for c=0 we get that one. Is that correct?
And for C I got that only for y0=0 2 solutions pass through that point which are y1 and y3.
For B I'm not sure if they mean the solution is defined on all R or that the solution would be correct for all y0.
I struggled to do D, so I would be glad if someone could help me.
Posting when I've done so far.
Thanks, everybody.