A quastion about Diffrential equation

Navid555

New member
Joined
Jan 17, 2022
Messages
6
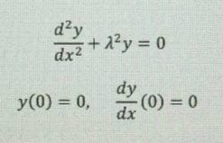
Hello. How can i find eigenfunction, eigenvalue and orthagonality of this diffrential equation?
 

Attachments

  • IMG_20220130_212037.jpg
    IMG_20220130_212037.jpg
    15.3 KB · Views: 10
Please share what you have attempted and where you are stuck. Let us know what background you have.
 
Since \(\displaystyle \lambda \geq 0\), you should get two general solutions. Place them aside and apply the initial conditions for each one of them and see what that gives you.

If I were you, I would start with \(\displaystyle \lambda = 0\).
 
Top