A question how to prove that the following integral and sum are converging?

king of pasta

New member
Joined
Mar 13, 2023
Messages
3
At first glance, both of them appeared to me as diverging but my university professor said(as a side note after class) that both of them undoubtedly converging
I will be glad if u can explain to me how and why?
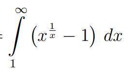
[math]\sum_{n=1}^{\infty}\left(\arctan \left(\frac{1}{\sqrt{n+\sin (n)}}\right)\right)^2[/math][math]\int_1^{\infty}\left(x^{\frac{1}{x}}-1\right) d x[/math]
[math]\int_1^{\infty}\left(x^{\frac{1}{x}}-1\right) d x[/math](adding the relevent integral as a jpeg)
 

Attachments

  • Screenshot 2023-03-13 154351.png
    Screenshot 2023-03-13 154351.png
    7.5 KB · Views: 8
Please show your work, even if you know its wrong, so we know what help you need. Please read the forum's posting guidelines. If you had, you would have received help by now.
 
Please show your work, even if you know its wrong, so we know what help you need. Please read the forum's posting guidelines. If you had, you would have received help by now.

excuse me for the misunderstanding regarding the forum's posting guidelines, it won't happen again
I tried to upload a picture of my solution but for some reason I faild to do so.

The Idea in the integral was to separate the improper integral into the the integral from zero to one the from 1 to infinity, the to use the know limit of xsqrtx while x->infinity equal to 1, and the compart the integral from 0 to 1 with 1/x^2 which is divergent and thus from my point of view is divergent,

Regarding the sum, I used the maclurin series, and implemented the first to values in the sin function and then the n cancel out - then I developed the sum with algebra into known divergent sum of (arctan(-->0)))^2
what is wrong?
How can I prove that both of them are converging?
 
Your integral says 1 to infinity. Where are 0 to 1 come from?
 
Top