allegansveritatem
Full Member
- Joined
- Jan 10, 2018
- Messages
- 962
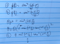
Here is the problem:

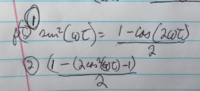
I am dealing in this post with part a). I was petty much at sea here and came up with several feints at a solution. Here is the best of the (false) conclusions I came to:

I'm not sure what is being asked for. Does the problem require that sin^2 omega t be transformed into something like c+a cos(bt)?


I am dealing in this post with part a). I was petty much at sea here and came up with several feints at a solution. Here is the best of the (false) conclusions I came to:

I'm not sure what is being asked for. Does the problem require that sin^2 omega t be transformed into something like c+a cos(bt)?
