Adding Fractions

Algebraneophyte

New member
Joined
Apr 27, 2021
Messages
12
Hi.
Please assist in solving the following:

1619937685285.png

I factorized Common denominator to be : (X-6)(X-3)(X+4)

Unsure on numerator.

Thank you.
 
Hi.
Please assist in solving the following:

View attachment 26887

I factorized Common denominator to be : (X-6)(X-3)(X+4)

Unsure on numerator.

Thank you.
Example

\(\displaystyle \frac{3}{2*5} + \frac{7}{3*5}\) .......... continued

\(\displaystyle = \ \frac{3*3}{2*5*3} + \frac{7*2}{3*5*2}\)........all the denominators changed to LCM and numerators changed accordingly

\(\displaystyle = \ \frac{3*3 + 7*2}{2*5*3} \)

\(\displaystyle = \ \frac{23}{30} \)

Did you follow the example above? Follow the exact same process. If you are still stuck please write back, indicating exactly where you are stuck.
 
Last edited by a moderator:
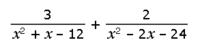
Hi.
Please assist in solving the following:

View attachment 26887

I factorized Common denominator to be : (X-6)(X-3)(X+4)

Unsure on numerator.

Thank you.
Good! Now you GET that common denominator by multiply both numerator and denominator by something.

I am sure you have correctly determined that the denominator of the first fraction is \(\displaystyle x^3+ x- 12= (x- 3)(x+ 4)\). It is missing the "x- 6". You need to multiply numerator and denominator by x- 6. The denominator on the second fraction is \(\displaystyle x^2- 2x= 24=(x- 6)(x- 4)\). It is missing the "X- 3" term. You need to multiply both numerator and denominator by x- 3.
 
[MATH]\frac {3}{(x-3)(x+4)} + \frac{2}{(x+4)(x-6)}[/MATH]
[MATH]=\frac {3 (\hspace2ex ? \hspace2ex)}{(x-3)(x+4)(x-6)} + \frac{2 (\hspace2ex ?? \hspace2ex)}{(x-3)(x+4)(x-6)}[/MATH]
Then combine the two fractions and simplify:

[MATH]=\frac {3 (\hspace2ex ? \hspace2ex)+2 (\hspace2ex ?? \hspace2ex)}{(x-3)(x+4)(x-6)}[/MATH]
 
[MATH]\frac {3}{(x-3)(x+4)} + \frac{2}{(x+4)(x-6)}[/MATH]
[MATH]=\frac {3 (\hspace2ex ? \hspace2ex)}{(x-3)(x+4)(x-6)} + \frac{2 (\hspace2ex ?? \hspace2ex)}{(x-3)(x+4)(x-6)}[/MATH]
Then combine the two fractions and simplify:

[MATH]=\frac {3 (\hspace2ex ? \hspace2ex)+2 (\hspace2ex ?? \hspace2ex)}{(x-3)(x+4)(x-6)}[/MATH]

Numerator?:

3(x-6) + 2(x-3) = (3x-18) + (2x-6) = 5x - 24

Thank you to all those replied.
 
Top