Applied Linear Algebra - Dual Basis, Unsure on solution

EulersDad

New member
Joined
Feb 23, 2021
Messages
2
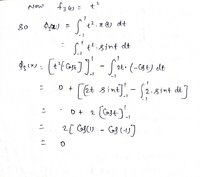
In this question I do not understand why x(t) = sin(t),
I am also slightly confused as to what x(t) can be, could it be anything?
I just remember [MATH] \phi_{i}(x_{j})=1[/MATH] if [MATH]i = j[/MATH] and [MATH] 0 [/MATH] if [MATH]i \neq j[/MATH].
Does anyone understand this solution? Any input would be helpful. Thanks




Screenshot 2021-02-23 at 21.18.32.png
1614057640119_Document33_1.jpg
1614057665811_Document33_2.jpg
 
Top