Area of a triangle inscribed in a circle with given ratio of a to b and the difference of radius of circumscribed to inscribed circles of the triangle

Ognjen

New member
Joined
Jan 4, 2022
Messages
46
The problem formulation is as follows:

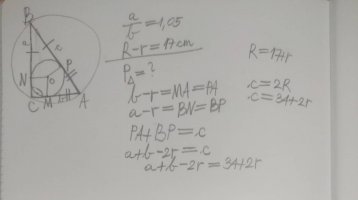
Quotient of lengths of the sides of a right triangle equals 1,05. The difference of radii of circumscribed to inscribed circles of the triangle equals 17 cm. What's the area of the triangle ?

matematika1.jpg

This is my attempt at figuring out a solution. I notice that BN and BP as well as MA and PA are equal, so I deduce that b-r = PA and a-r = BP. However, after this I'm a bit lost. If I take the sum of PA and BP I get c ( this is why I was trying to express the two lines at the first place ) or 2R ( since c = 2R for any right triangle ), and I can express a with b or vice versa, but I can't get rid of the R ( or the r, depending on how I express it ).
To the get the area I need both a and b, and since its a right triangle, Pythagorean theorem supplies me with one equation that I could use in a system with the aforementioned a + b equation ( visible on the picture ) if only I could get rid of the R SOMEHOW ( find out its value ) ... but I can't figure out how exactly.

Does anyone have any idea how I could solve this problem ? It would help me immensely.
 
The problem formulation is as follows:

Quotient of lengths of the sides of a right triangle equals 1,05. The difference of radii of circumscribed to inscribed circles of the triangle equals 17 cm. What's the area of the triangle ?

View attachment 32911

This is my attempt at figuring out a solution. I notice that BN and BP as well as MA and PA are equal, so I deduce that b-r = PA and a-r = BP. However, after this I'm a bit lost. If I take the sum of PA and BP I get c ( this is why I was trying to express the two lines at the first place ) or 2R ( since c = 2R for any right triangle ), and I can express a with b or vice versa, but I can't get rid of the R ( or the r, depending on how I express it ).
To the get the area I need both a and b, and since its a right triangle, Pythagorean theorem supplies me with one equation that I could use in a system with the aforementioned a + b equation ( visible on the picture ) if only I could get rid of the R SOMEHOW ( find out its value ) ... but I can't figure out how exactly.

Does anyone have any idea how I could solve this problem ? It would help me immensely.
The image is hard to read. Please try attaching a better-quality image.

Do you know (or can you find) a formula for r in terms of a, b, c? I tried using that, but didn't get very far yet.
 
The image is hard to read. Please try attaching a better-quality image.

Do you know (or can you find) a formula for r in terms of a, b, c? I tried using that, but didn't get very far yet.
Is this a bit better ? I'm in no position to take a better picture, for which I apologize profusely.

I didn't manage to find the relationship between the variables aforementioned. I may be able to help you by citing the given solution ( that isn't elaborated upon in the workbook ): 840 cm^2.
 

Attachments

  • matematika2.jpg
    matematika2.jpg
    54.8 KB · Views: 3
Is this a bit better ? I'm in no position to take a better picture, for which I apologize profusely.

I didn't manage to find the relationship between the variables aforementioned. I may be able to help you by citing the given solution ( that isn't elaborated upon in the workbook ): 840 cm^2.
Thanks. This is much more readable. And 840 is the answer I got.

I'm not sure where to go next in your method (which is a little different from mine), but you should definitely use the ratio of a/b very soon. Replace a with 1.05b, and also use the Pythagorean theorem to express c in terms of a, which will be very simple.

Here is what I did: express a and c in terms of b; use those to express R and r in terms of b; and write a simple equation to solve for b.
 
Thanks. This is much more readable. And 840 is the answer I got.

I'm not sure where to go next in your method (which is a little different from mine), but you should definitely use the ratio of a/b very soon. Replace a with 1.05b, and also use the Pythagorean theorem to express c in terms of a, which will be very simple.

Here is what I did: express a and c in terms of b; use those to express R and r in terms of b; and write a simple equation to solve for b.
That's it ! Thank you so much, I've managed to calculate the same solution. :)
 
Top