chipolino80
New member
- Joined
- Dec 26, 2021
- Messages
- 1
a. Find the Cartesian equations of:
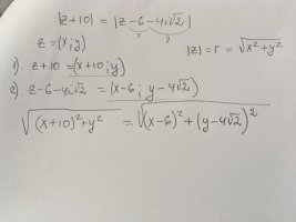
1)the locus of points representing
|z+10|=|z-6-4i sqrt(2)|
2)the locus of points representing
|z+1|=3
I done a. Answer for
1)y=-2sqrt(2)x - 2sqrt(2)
2)(x+1)^2 + y^2 =9
b. Find the two values of z that satisfy both |z+10|=|z-6-4i sqrt(2)| and |z+1|=3


This is more complex solution not finished yet

1)the locus of points representing
|z+10|=|z-6-4i sqrt(2)|
2)the locus of points representing
|z+1|=3
I done a. Answer for
1)y=-2sqrt(2)x - 2sqrt(2)
2)(x+1)^2 + y^2 =9
b. Find the two values of z that satisfy both |z+10|=|z-6-4i sqrt(2)| and |z+1|=3


This is more complex solution not finished yet
