I attempted to solve the following problem:
a) Write down the first three terms, in ascending orders of [imath]x[/imath], of the binomial expansion of [imath](1+px)^{15}[/imath], where [imath]p[/imath] is a non-zero constant.
b) Given that, in the expansion of [imath](1+px)^{15}[/imath] , the coefficient of [imath]x[/imath] is [imath](-q)[/imath] and the coefficient of [imath]x^2[/imath] is [imath]5q[/imath], find the value of [imath]p[/imath] and the value of [imath]q[/imath].
I went about attempting to solve as follows:
a) [math]1^{15} +1^{14} {11 \choose 1}(px) + 1^{13} {11 \choose 2}(px)^2 = 1+15px +105p^2x^2 [/math]
b) [math]5(15p) = -(105p^2) \\ \Rightarrow -\frac{5}{7}=p, \text{ and } \\ 5q=-105(-\frac{5}{7})^2 \\ q=-\frac{75}{7}[/math]
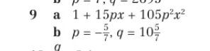
The book does not show how the problem is solved, it simply shows the values of [imath]p[/imath] and [imath]q[/imath], as follows:

So the question I have is , how is the sign for part b different to the sign I got, can anybody suggest where I went wrong ?
Thanks
a) Write down the first three terms, in ascending orders of [imath]x[/imath], of the binomial expansion of [imath](1+px)^{15}[/imath], where [imath]p[/imath] is a non-zero constant.
b) Given that, in the expansion of [imath](1+px)^{15}[/imath] , the coefficient of [imath]x[/imath] is [imath](-q)[/imath] and the coefficient of [imath]x^2[/imath] is [imath]5q[/imath], find the value of [imath]p[/imath] and the value of [imath]q[/imath].
I went about attempting to solve as follows:
a) [math]1^{15} +1^{14} {11 \choose 1}(px) + 1^{13} {11 \choose 2}(px)^2 = 1+15px +105p^2x^2 [/math]
b) [math]5(15p) = -(105p^2) \\ \Rightarrow -\frac{5}{7}=p, \text{ and } \\ 5q=-105(-\frac{5}{7})^2 \\ q=-\frac{75}{7}[/math]
The book does not show how the problem is solved, it simply shows the values of [imath]p[/imath] and [imath]q[/imath], as follows:

So the question I have is , how is the sign for part b different to the sign I got, can anybody suggest where I went wrong ?
Thanks