ausmathgenius420
New member
- Joined
- Aug 5, 2021
- Messages
- 44
Question: A population proportion based on a sample size of 100 people has a width of w. Assuming other parameters remain equal ([imath]\hat{p}[/imath],[imath]z[/imath]), what is the sample size required for the population proportion to have a width of 2w?
*Multiple choice answers: 25,50,200,400
*Calculator free question
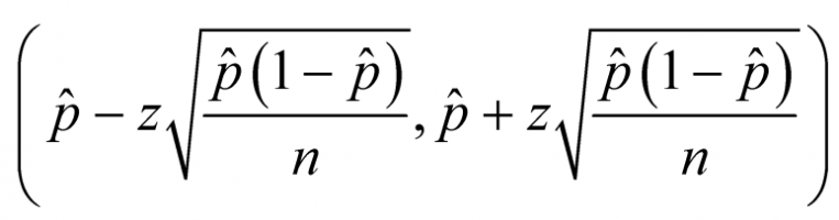
Confidence interval formula:

Decreasing the sample size will increase the width, hence n=25 or 50.
If you visualise the interval [imath](a,b)[/imath] on a number line, to double the width, each end point must be 50% further apart I.e. [imath]a\rightarrow a-0.5a[/imath] and [imath]b\rightarrow b+0.5b[/imath]
I don't know where to go from here?
*Multiple choice answers: 25,50,200,400
*Calculator free question
Confidence interval formula:

Decreasing the sample size will increase the width, hence n=25 or 50.
If you visualise the interval [imath](a,b)[/imath] on a number line, to double the width, each end point must be 50% further apart I.e. [imath]a\rightarrow a-0.5a[/imath] and [imath]b\rightarrow b+0.5b[/imath]
I don't know where to go from here?