mikewill54
New member
- Joined
- Mar 7, 2016
- Messages
- 31
Hi
Hoping someone can help me with this question, Im a bit stumped but I think im on the right track
Calculate the amplitude of the echo that is reflected from a disc-shaped reflector with a diameter of 0.7 mm at a depth of 60 mm, as a fraction of the transmitted pulse.
wave velocity is 5.96 mm/μs,
attenuation coefficient is 0.05 nepers/mm.
A compression probe - 10 mm diameter and 4 MHz frequency
attenuation coefficient is 0.05 nepers/mm
required amplification of the back wall echo to inspect the stainless steel block is observed to be 20 dB.
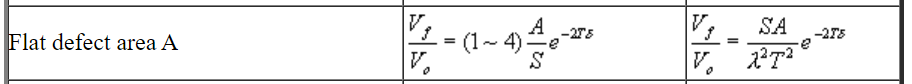
I think I'm supposed to use this formula from
Ermolovs Sizing equations
[math]p=(SAe^(-2αT))/(T^2 λ^2 )[/math]
T = the distance along the beam axis to the target
S = the area of the probe
lambda = the wavelength of ultrasound (nominal)
alpha = the attenuation coefficient
A = Area of flat shaped reflector
T = 50
S = 78.53
lambda = 0.00149
alpha = 0.05
A = 0.38

Does anyone know if this is close to being right, I cant find much online about it
Thanks for any help
Hoping someone can help me with this question, Im a bit stumped but I think im on the right track
Calculate the amplitude of the echo that is reflected from a disc-shaped reflector with a diameter of 0.7 mm at a depth of 60 mm, as a fraction of the transmitted pulse.
wave velocity is 5.96 mm/μs,
attenuation coefficient is 0.05 nepers/mm.
A compression probe - 10 mm diameter and 4 MHz frequency
attenuation coefficient is 0.05 nepers/mm
required amplification of the back wall echo to inspect the stainless steel block is observed to be 20 dB.
I think I'm supposed to use this formula from
Ermolovs Sizing equations
[math]p=(SAe^(-2αT))/(T^2 λ^2 )[/math]

T = the distance along the beam axis to the target
S = the area of the probe
lambda = the wavelength of ultrasound (nominal)
alpha = the attenuation coefficient
A = Area of flat shaped reflector
T = 50
S = 78.53
lambda = 0.00149
alpha = 0.05
A = 0.38

Does anyone know if this is close to being right, I cant find much online about it
Thanks for any help