Hello guys,
I need help on the Charnes Cooper Transformation.
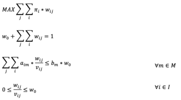
This is my optimization problem in generic form
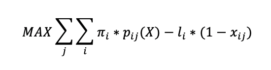
This is the corresponding approach I used from Davis (2008) for now but there's a slight change in my objective function:
I'd like to add the factor loss to my objective so how does it change the linearized model then? Thanks for your help!
I need help on the Charnes Cooper Transformation.

This is my optimization problem in generic form

This is the corresponding approach I used from Davis (2008) for now but there's a slight change in my objective function:

I'd like to add the factor loss to my objective so how does it change the linearized model then? Thanks for your help!