Good morning
I had to do this exercise, and I think I have done most of it, but I am not sure if I am applying the formula highlighted correctly to find fxx.

Would these steps make sense?

Also, assuming that these steps are correct at the end I computed the derivative of the 3 H() functions to find the maximum, and only one of them have it.
Do you know what it means with "Which objective function can automatically detect the scale of the gaussian?"
Thanks a lot for any suggestions you could give me
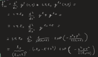
I had to do this exercise, and I think I have done most of it, but I am not sure if I am applying the formula highlighted correctly to find fxx.

Would these steps make sense?

Also, assuming that these steps are correct at the end I computed the derivative of the 3 H() functions to find the maximum, and only one of them have it.
Do you know what it means with "Which objective function can automatically detect the scale of the gaussian?"
Thanks a lot for any suggestions you could give me