mathshelpplease
New member
- Joined
- Oct 5, 2021
- Messages
- 25
I am doing this problem and am a little stuck on part b.

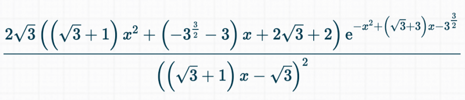
I have worked out the f'(x) which is equal to

having double checked through derivative-calculator.net
and as it I need the interval with strictly decreasing, have determined [math]f'(x)≤ 0[/math]
But am struggling to work out how to determine the values for such a complicated function.
I know that exp will be positive, but other than that any advice appreciated!

I have worked out the f'(x) which is equal to

having double checked through derivative-calculator.net
and as it I need the interval with strictly decreasing, have determined [math]f'(x)≤ 0[/math]
But am struggling to work out how to determine the values for such a complicated function.
I know that exp will be positive, but other than that any advice appreciated!