Deriverative from definition: 1/sqrt{x}

chrisplease

New member
Joined
Dec 27, 2015
Messages
1
Hello

i have a little problem with this Deriverative from definition

\(\displaystyle \left(\, \dfrac{1}{\sqrt{\strut x\,}}\,\right)\)

\(\displaystyle \displaystyle \lim_{x\, \rightarrow\, x_0}\, \)\(\displaystyle \dfrac{\left(\, \dfrac{1}{\sqrt{\strut x\,}}\, \right)\, -\, \left(\, \dfrac{1}{\sqrt{\strut x_0\,}}\, \right)}{x\, -\, x_0}\)

do i correctly arranged it? cause i have some problem with with the result it comes 0 on numerator and good value on denominator
 
Last edited by a moderator:
Hello

i have a little problem with this Deriverative from definition

\(\displaystyle \left(\, \dfrac{1}{\sqrt{\strut x\,}}\,\right)\)

\(\displaystyle \displaystyle \lim_{x\, \rightarrow\, x_0}\, \)\(\displaystyle \dfrac{\left(\, \dfrac{1}{\sqrt{\strut x\,}}\, \right)\, -\, \left(\, \dfrac{1}{\sqrt{\strut x_0\,}}\, \right)}{x\, -\, x_0}\)

do i correctly arranged it? cause i have some problem with with the result it comes 0 on numerator and good value on denominator
It's very simple:
-First, multiply both numerator and denominator by [x ((1/x)^(1/2) + (1/x_0)^(1/2))];
-Then, simplify and calculate the limit, that is: -1/2(x_0)^(3/2)
attachment.php
 

Attachments

  • image.jpg
    image.jpg
    11.3 KB · Views: 1
  • image.jpg
    image.jpg
    13 KB · Views: 10
Last edited:
Hello

i have a little problem with this Deriverative from definition

\(\displaystyle \left(\, \dfrac{1}{\sqrt{\strut x\,}}\,\right)\)

\(\displaystyle \displaystyle \lim_{x\, \rightarrow\, x_0}\, \)\(\displaystyle \dfrac{\left(\, \dfrac{1}{\sqrt{\strut x\,}}\, \right)\, -\, \left(\, \dfrac{1}{\sqrt{\strut x_0\,}}\, \right)}{x\, -\, x_0}\)

do i correctly arranged it? cause i have some problem with with the result it comes 0 on numerator and good value on denominator
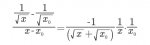
Rationalize the expression: That is, first re-write the expression as

\(\displaystyle \frac{\sqrt{\strut x_0\,}\, -\, \sqrt{\strut x\,}}{\sqrt{\strut x_0\,}\, \sqrt{\strut x\,}\, \bigg(x\, -\, x_0 \bigg)}\)

and now multiple numerator and denominator by \(\displaystyle \sqrt{\strut x_0\,}\, +\, \sqrt{\strut x\,}\)
 
Last edited by a moderator:
Top