Discretization (BTCS scheme)

Wee

New member
Joined
May 17, 2022
Messages
2
How to discretize the following model using backward time forward space scheme?

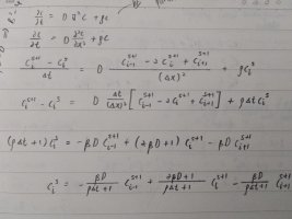
[math]\frac{\partial c} {\partial t} = \frac {\partial^{\smash{2}} c} {\partial x^{\smash{2}}} + \rho c[/math]
The discretized equation is [math]c_{i, j} = -Qc_{i-1, j+1} + Pc_{i, j+1} - Qc_{i+1, j+1}[/math]where [math]P = \frac {1+2\beta} {1+\alpha}[/math] and [math]Q = \frac {\beta} {1+\alpha}[/math] with [math]\beta = \frac {\Delta t} {(\Delta x)^ {\smash{2}}}[/math] and [math]\alpha = \frac {\rho L^{2}} {D} \Delta t[/math]
I tried to substitute the formula into the model but couldn't get the answer and I don't know that is L. Please help me!!!
 
How to discretize the following model using backward time forward space scheme?

[math]\frac{\partial c} {\partial t} = \frac {\partial^{\smash{2}} c} {\partial x^{\smash{2}}} + \rho c[/math]
The discretized equation is [math]c_{i, j} = -Qc_{i-1, j+1} + Pc_{i, j+1} - Qc_{i+1, j+1}[/math]where [math]P = \frac {1+2\beta} {1+\alpha}[/math] and [math]Q = \frac {\beta} {1+\alpha}[/math] with [math]\beta = \frac {\Delta t} {(\Delta x)^ {\smash{2}}}[/math] and [math]\alpha = \frac {\rho L^{2}} {D} \Delta t[/math]
I tried to substitute the formula into the model but couldn't get the answer and I don't know that is L. Please help me!!!
When you substituted the formula into the model,

What did you get?
Please share your work!
 
Top