Hi,
I've been having some trouble solving equations for my strength of materials class, I am sure the problem is purely mathematical, but I can't see where I'm making a mistake.
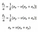
I have the following set of equations:

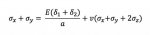
I have to express sigma z using only deltas, a, v and E. I define the following sum:

And I try to make it sensible either by getting sigma z from the upper equation or by putting sigma z there instead of v(sigmaX + sigmaY). But I get to weird results that do not suit the correct answer.
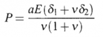
The correct answer is the following, divided by a^2:

I will be very much grateful I somebody can help me out with this, it doesn't seem hard at all. And please let me know if I should say more about my own solution.
PS Sorry for pictures rather than script in the post, let me know if I should change it.
I've been having some trouble solving equations for my strength of materials class, I am sure the problem is purely mathematical, but I can't see where I'm making a mistake.
I have the following set of equations:

I have to express sigma z using only deltas, a, v and E. I define the following sum:
And I try to make it sensible either by getting sigma z from the upper equation or by putting sigma z there instead of v(sigmaX + sigmaY). But I get to weird results that do not suit the correct answer.
The correct answer is the following, divided by a^2:

I will be very much grateful I somebody can help me out with this, it doesn't seem hard at all. And please let me know if I should say more about my own solution.
PS Sorry for pictures rather than script in the post, let me know if I should change it.