The basic idea is this definition of logarithms.
[math]\text {Given } \alpha > 0, \ \alpha \ne 1, \text { and } \beta > 0, \\
\log_{\alpha}(\beta) = \gamma \iff \beta = \alpha^{\gamma}.[/math]
(From that definition, topsquark’s hint follows directly, but I actually think it is easier to work from the definition itself.)
The Cat has given you one method, but I find it a bit easier to go
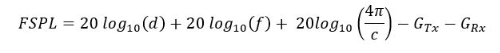
[math]-93 = 20 \log_{10}(d) + 20 \log_{10}(868000) + 20 \log_{10} \left ( \dfrac{4 \pi}{299792948} \right ) - 3 - 6 \implies \\
- 84 = 20 \log_{10} + 20 \log_{10} \left ( \dfrac{3.472 * 10^6 * \pi}{2.997,929,480 * 10^8} \right ) \implies\\
\log{10}(d) + \log_{10} \left ( \dfrac{3.472 * \pi}{2.997,929,480} * 10^{-2} \right ) = -\dfrac{84}{20} \implies\\
\log_{10}(d) - 2 \log_{10} \left ( \dfrac{3.472 * \pi}{2.997,929,480} \right ) = - 4.2.[/math]
Now can you finish it up?