Find the compound interest rate equivalent to the simple interest rate of 5% for an investment over a 4 years period

itsrayex

New member
Joined
Jan 18, 2022
Messages
26
Sorry if the awkward translation but I am directly translating this from another language

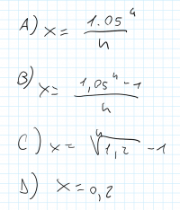
Here are the options:
1644778403141.png
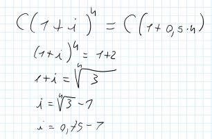
I have no idea regarding what formula I should use to solve this, I have made a useless attempt knowing this is not the right way to do it:
1644778499372.png
Can you please tell me what is the solution and why? Thank you
 
Edited: I mixed up the two rates
Let A= the final amount, P= initial amount, i= annual simple interest rate, x= annual compound interest rate, n= time (in years)
The formula for compound interest rate is [imath]A=P(1+x)^n=P(1+x)^4[/imath]
The formula for simple interest rate is [imath]A=P(1+i\cdot n)=P(1+0.05\cdot 4)[/imath]
For the interest rates to be equivalent, the final value has to be the same given the same initial value, so equate the 2 equations and solve for [imath]x[/imath]:
[math]P(1+x)^4=P(1+0.05\cdot 4)[/math]
 
Last edited:
Edited: I mixed up the 2 rates
Let A= the final amount, P= initial amount, i= annual simple interest rate, x= annual compound interest rate, n= time (in years)
The formula for compound interest rate is [imath]A=P(1+x)^n=P(1+x)^4[/imath]
The formula for simple interest rate is [imath]A=P(1+i\cdot n)=P(1+0.05\cdot 4)[/imath]
Now equate the 2 equations and solve for [imath]x[/imath]:
[math]P(1+x)^4=P(1+0.05\cdot 4)[/math]
in the equation why did you put i' on the right side? on the right side is the formula to calculate the simple interest rate, and i'= annual compound interest rate
 
in the equation why did you put i' on the right side? on the right side is the formula to calculate the simple interest rate, and i'= annual compound interest rate
My apologies for the mistake. I've edited my post. Please reread the post. I changed to x so it's consistent with your answer choices.
 
My apologies for the mistake. I've edited my post. Please reread the post. I changed to x so it's consistent with your answer choices.
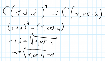
Np, thank you. Also I tried to follow your suggestion and here's what I got:
1644780628773.png
Which yelds 0.05 and does not match any of the options above. Did I do smth wrong/am I missing something?
 
You wrote (1.05*4)^(1/4) - 1 = 1.431569 -1 = 0.43

You should calculate

(1+0.05*4)^(1/4) - 1 = (1+0.2)^(1/4) - 1 = 1.046635139 - 1 = 0.04664 ......................added
 
Last edited by a moderator:
You're missing the order of operation on the right-hand side. Multiplication comes before addition.
oh you mean at the beginning right? like this:
1644781167071.png
still does not yeld a correct result. I'm sorry, I guess I am messing up somewhere else too
 
Top