Description
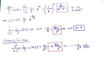
We have X=(X1,X2,...,Xn) random sample ~ E(λ)
Finding a Maximum Likelihood Estimator:

My Questions:
I have marked with red color the parts that I'm facing an issue to understand
1) I can't understand why Π {e^(-xi)} has a "/n" when we turn it into a Σ. Should it not be just "e^Σ(-xi)" ?
2) What is the logic behind finding the derivative of the first red marked term and turning it into the second red marked term? What rule do we follow to do this?
3) Basically the same as number 2, as we take the second derivative and we have the third red marked term. Again, if there is a rule that explains this, it would be very helpful.
Thank you in advance!!
We have X=(X1,X2,...,Xn) random sample ~ E(λ)
Finding a Maximum Likelihood Estimator:

My Questions:
I have marked with red color the parts that I'm facing an issue to understand
1) I can't understand why Π {e^(-xi)} has a "/n" when we turn it into a Σ. Should it not be just "e^Σ(-xi)" ?
2) What is the logic behind finding the derivative of the first red marked term and turning it into the second red marked term? What rule do we follow to do this?
3) Basically the same as number 2, as we take the second derivative and we have the third red marked term. Again, if there is a rule that explains this, it would be very helpful.
Thank you in advance!!