Probability 0.99
New member
- Joined
- May 14, 2019
- Messages
- 13


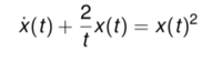
I have managed to solve this Bernoulli equation and found the general solution for it using integrating factor but I am struggling to understand how the domains are derived. I get that x cannot be 0 because 2/0= 0 However why are there 3 branches? But why are there 3 branches? And what does the symbol E denote? I don't major in Maths, so I find this a bit hard to understand. Thanks

