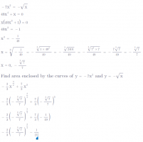
I'm given the equations
[math]-7x^2[/math]and
[math]-√x[/math]I know that the intersection points are where the 2 equations equal each other, but for the life of me I can't recall how to solve
[math]-7x^2=-√x[/math]Once I figure that out I simply do this math, right?
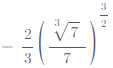
[math]-\frac{7}{3}x^3-(-\frac{2}{3}x^\frac{3}{2})[/math]Subtituting the values of intersection for x, and subtracting the smaller value from the larger value.
[math]-7x^2[/math]and
[math]-√x[/math]I know that the intersection points are where the 2 equations equal each other, but for the life of me I can't recall how to solve
[math]-7x^2=-√x[/math]Once I figure that out I simply do this math, right?
[math]-\frac{7}{3}x^3-(-\frac{2}{3}x^\frac{3}{2})[/math]Subtituting the values of intersection for x, and subtracting the smaller value from the larger value.


