So, this is about Amortization Loan. I have this problem below.
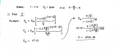
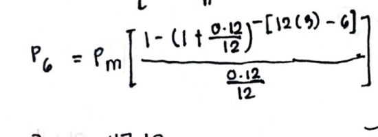
"On a loan with an interest rate of 12%, compounded monthly, and is being repaid on a monthly basis, the amount of the principal in the 6th payment is $4,000.
i. If there are 36 equal payments in all, determine the amount of the loan.
ii. Determine the amount of principal in the 15th payment"

The thing is, I already used the formulas in order to find P, but the amount just ends up being lesser than what the principal balance is on the 6th payment. Is something wrong with the way I utilized the formula? Hoping someone can help me with this,, thankss!
"On a loan with an interest rate of 12%, compounded monthly, and is being repaid on a monthly basis, the amount of the principal in the 6th payment is $4,000.
i. If there are 36 equal payments in all, determine the amount of the loan.
ii. Determine the amount of principal in the 15th payment"

The thing is, I already used the formulas in order to find P, but the amount just ends up being lesser than what the principal balance is on the 6th payment. Is something wrong with the way I utilized the formula? Hoping someone can help me with this,, thankss!