maths12345
New member
- Joined
- Jan 7, 2020
- Messages
- 3
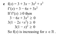
Hi, i have linked a question and its answer below. What does x E R mean (the final answer)?
Could someone please explain how you know the answer is this value?
Thank you for all your help.
Could someone please explain how you know the answer is this value?
Thank you for all your help.