Hi,
Context
I am not traditionally a math student, but I am studying some math-intensive subjects. It's a bit odd, but I understand parts of much of the math we do while also having gaps in what I feel is probably pretty basic stuff. Many of these gaps seem to surface in the proofs we have to do. I am trying to practice proofs, but, beyond simple proofs, there are often leaps that I am unable to reconcile. The below is not homework, but extra practice I am trying to understand.
Question
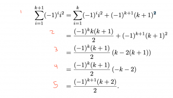
Below is part of an inductive proof. I understand the equivalency stated at line 1 as well as the transition from line 1 to line 2. However, how do we get from line 2 to line 3? Additionally, I understand the transition from line 3 to line 4 but what steps are taken to move from line 4 to line 5?

Does anyone also have any suggestions for resources that may help me understand the steps that can be taken when writing proofs? I generally know where I am starting and where I am going. I also have a vague, sometimes more than a vague, idea of how to get from the start to finish, but often get lost when it comes to details or procedure. Most likely from lack of knowledge of relationships such as those in the steps above.
I appreciate any help or guidance.
Context
I am not traditionally a math student, but I am studying some math-intensive subjects. It's a bit odd, but I understand parts of much of the math we do while also having gaps in what I feel is probably pretty basic stuff. Many of these gaps seem to surface in the proofs we have to do. I am trying to practice proofs, but, beyond simple proofs, there are often leaps that I am unable to reconcile. The below is not homework, but extra practice I am trying to understand.
Question
Below is part of an inductive proof. I understand the equivalency stated at line 1 as well as the transition from line 1 to line 2. However, how do we get from line 2 to line 3? Additionally, I understand the transition from line 3 to line 4 but what steps are taken to move from line 4 to line 5?

Does anyone also have any suggestions for resources that may help me understand the steps that can be taken when writing proofs? I generally know where I am starting and where I am going. I also have a vague, sometimes more than a vague, idea of how to get from the start to finish, but often get lost when it comes to details or procedure. Most likely from lack of knowledge of relationships such as those in the steps above.
I appreciate any help or guidance.