ScaredofMath
New member
- Joined
- Feb 10, 2020
- Messages
- 5
Good morning,
I have to sit a university entrance exam in three weeks. It consists of three parts: two written, one math.
It's been 12 years since I did any kind of mathematics from school and I never got any grades while there (English and Classics were my strong subjects).
I've got some of the past papers and started using BBC Bitesize GCSE revision online to prepare (as that's apparently the level I'm expected to be capable of) but I don't think I'll be able to learn enough to pass the math section with the time I have.
The university mentions needing an understanding of algebra and calculus. Going through the old exams I started to practice and attempt to learn some of the material.
Below is one of the questions and I am completely lost on how to even begin.
It states clearly that Full Algebraic working must be clearly shown and the problem below is worth 5 marks.

Am I correct in assuming this is an expression not an equation?
Do I follow the Bodmas rule (Brackets, order, division, multiplication, addition, subtraction) to simplify this?
This was as far as I got trying to solve it on my own:
2x2-1 - (I don't know where to start or what to do next or if I got that part correct).
Any advice is welcomed, even if it's a link to a guide that'll help me learn how to solve such problems on my own (I'm working through the BBC Bitesize GCSE online learning but I really struggled with the algebra section when trying to apply it to a problem with two parts separated by a subtraction).
Thanks in advance.
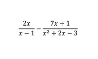
I have to sit a university entrance exam in three weeks. It consists of three parts: two written, one math.
It's been 12 years since I did any kind of mathematics from school and I never got any grades while there (English and Classics were my strong subjects).
I've got some of the past papers and started using BBC Bitesize GCSE revision online to prepare (as that's apparently the level I'm expected to be capable of) but I don't think I'll be able to learn enough to pass the math section with the time I have.
The university mentions needing an understanding of algebra and calculus. Going through the old exams I started to practice and attempt to learn some of the material.
Below is one of the questions and I am completely lost on how to even begin.
It states clearly that Full Algebraic working must be clearly shown and the problem below is worth 5 marks.

Am I correct in assuming this is an expression not an equation?
Do I follow the Bodmas rule (Brackets, order, division, multiplication, addition, subtraction) to simplify this?
This was as far as I got trying to solve it on my own:
2x2-1 - (I don't know where to start or what to do next or if I got that part correct).
Any advice is welcomed, even if it's a link to a guide that'll help me learn how to solve such problems on my own (I'm working through the BBC Bitesize GCSE online learning but I really struggled with the algebra section when trying to apply it to a problem with two parts separated by a subtraction).
Thanks in advance.