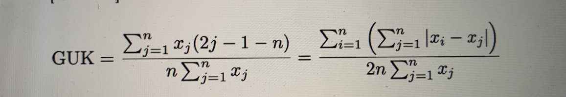
As you can see in the picture I have to proof that the first term of the Gini coefficient is the second one. I tried to solve it, but I am not quite sure how to start this proof. Can anyone give me an input to solve that? Thanks in advance.
This site uses cookies to help personalise content, tailor your experience and to keep you logged in if you register.
By continuing to use this site, you are consenting to our use of cookies.