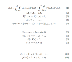
is equation (9) with PDE (6)-(8) the right gradient for cost function (1) with PDE (2)-(4) ?
A anon.for New member Joined Oct 9, 2022 Messages 1 Oct 9, 2022 #1 is equation (9) with PDE (6)-(8) the right gradient for cost function (1) with PDE (2)-(4) ?