I have attempted the following question.
My attempt is as follows:
[math]\frac{dy}{dx} (x^2+1)= 2x \\ \text{gradient: } 2(2) = 4 \\ \text{ Tangent: } y= 4x+c \Rightarrow 5 = 4(2) + c \Rightarrow y = 4x - 3 \\ \text {Norm: } y=-\frac{1}{4}x+c \Rightarrow 2=-\frac{1}{4}(1) +c \Rightarrow 2+1/4=c \Rightarrow y=-\frac{1}{4}x+\frac{9}{4} \\ \\ \text{Intersect: } \\ 4x-3=-\frac{1}{4}x+\frac{9}{4} \\ 4(4x-3)=-x+9 \\ 16x-12=-x+9 \\ 17x-21=0 \\ x=\frac{21}{17} \Rightarrow y = 4(\frac{21}{17}) -3=\frac{33}{17} \\ \Rightarrow (x,y)=(\frac{21}{17}, \frac{33}{17})[/math]
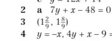
But the answer in the book is shown as, answer is at 3

No working out is shown, only the final answer is shown.
Can anybody suggest where I have gone wrong ?
Find the coordinates of the point where the tangent to the curve [imath]y=x^2+1[/imath] at the point [imath](2,5)[/imath] meets the normal to the same curve at the point [imath](1,2)[/imath]
My attempt is as follows:
[math]\frac{dy}{dx} (x^2+1)= 2x \\ \text{gradient: } 2(2) = 4 \\ \text{ Tangent: } y= 4x+c \Rightarrow 5 = 4(2) + c \Rightarrow y = 4x - 3 \\ \text {Norm: } y=-\frac{1}{4}x+c \Rightarrow 2=-\frac{1}{4}(1) +c \Rightarrow 2+1/4=c \Rightarrow y=-\frac{1}{4}x+\frac{9}{4} \\ \\ \text{Intersect: } \\ 4x-3=-\frac{1}{4}x+\frac{9}{4} \\ 4(4x-3)=-x+9 \\ 16x-12=-x+9 \\ 17x-21=0 \\ x=\frac{21}{17} \Rightarrow y = 4(\frac{21}{17}) -3=\frac{33}{17} \\ \Rightarrow (x,y)=(\frac{21}{17}, \frac{33}{17})[/math]
But the answer in the book is shown as, answer is at 3

No working out is shown, only the final answer is shown.
Can anybody suggest where I have gone wrong ?