The Velociraptors
New member
- Joined
- Jul 16, 2020
- Messages
- 48
Hello,
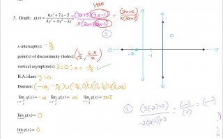
I’ve been struggling with the following problem which should be attached below this message.
Basically, I’m not sure why the hyperbola (if that’s the right term) starts above y=0, reaching a highest range of positive infinity. I know it would make sense given that both vertical asymptotes are odd, but when I picked a point to the left of -3/2, (leftmost odd VA), which I picked as -2, the sign analysis in purple comes out to be negative. I thought this indicates that the hyperbola would be below y=0. I picked multiple points such as -2, -3, and -5, but they all produce a negative on the sign analysis.
What am I doing wrong?

I’ve been struggling with the following problem which should be attached below this message.
Basically, I’m not sure why the hyperbola (if that’s the right term) starts above y=0, reaching a highest range of positive infinity. I know it would make sense given that both vertical asymptotes are odd, but when I picked a point to the left of -3/2, (leftmost odd VA), which I picked as -2, the sign analysis in purple comes out to be negative. I thought this indicates that the hyperbola would be below y=0. I picked multiple points such as -2, -3, and -5, but they all produce a negative on the sign analysis.
What am I doing wrong?
