Hello!
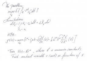
Could somebody please help me understand, where shall I begin solve this problem?
I mean, I would have known steps if first order conditions where provided for HJB and solution would be, for example, of form V(X)=a+bX, but in this case it's V(C) and what taking partial derivative would give me?
Could somebody please help me understand, where shall I begin solve this problem?
I mean, I would have known steps if first order conditions where provided for HJB and solution would be, for example, of form V(X)=a+bX, but in this case it's V(C) and what taking partial derivative would give me?
