Hello,
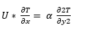
I am working with a heat transfer problem and have been looking for ways to solve the PDE, but I am really stuck. The energy equation boils down to;

In this case U and alfa can be treated as constant. Any advice for how I can solve this? Is a coordinate change necessary to solve it, if so any good material/video that I could look into?
Have a great evening
/M
The boundary conditions are as follows;
dT/dY = 0 at y=0, x=0
T = T_s at y=+- b (symmetric) where b is the distance from the centreline of the duct to the wall.
I am working with a heat transfer problem and have been looking for ways to solve the PDE, but I am really stuck. The energy equation boils down to;

In this case U and alfa can be treated as constant. Any advice for how I can solve this? Is a coordinate change necessary to solve it, if so any good material/video that I could look into?
Have a great evening
/M
The boundary conditions are as follows;
dT/dY = 0 at y=0, x=0
T = T_s at y=+- b (symmetric) where b is the distance from the centreline of the duct to the wall.