Help with proof??

dakota1234

New member
Joined
Nov 26, 2018
Messages
1
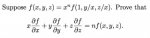
Hey, I've been trying to wrap my head around this one for a little bit now.

Screen Shot 2018-11-26 at 4.57.55 PM.jpg
I worked a similar problem previously, so I understand that most of this problem is a simple chain rule application. However, I can't seem to figure out how to set up this particular one; any help would be much appreciated!!!
∂x
+
y
∂f
∂y
+
z
∂f
∂z
=
nf
(
x,y,z
)
.
 
Top