High school calculus help

robynv98

New member
Joined
Mar 20, 2019
Messages
1
Hi guys, I need some help with this problem. It should be really simple, but I’m a little stuck. Please try to explain in a little detail, and thanks in advance!

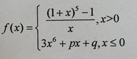
Q: The function is as shown in the image. The function can be derived on any real number, solve (p,q)=?

I know I can use L’Hôpital’s rule and get:

lim [(1+x)^5-1]' / [x]'= lim 5(1+x)^4•1/1 = 5 = f(0) =q

This is as far as I got. Thanks!

9458C080-BA6C-41CA-A601-486B4F2832BD.jpeg
 
Last edited by a moderator:
Yes, we find:

[MATH]\lim_{x\to0^{+}} f(x)=5[/MATH]
And:

[MATH]\lim_{x\to0^{-}} f(x)=q[/MATH]
And so for \(f\) to be continuous, we require \(q=5\).

Now, we also require:

[MATH]\lim_{x\to0^{-}} f'(x)=\lim_{x\to0^{+}} f'(x)[/MATH]
Can you state \(f'(x)\) as a piecewise function?
 
I wouldn't have used "L'Hopital" for the limits. We can write \(\displaystyle \frac{(1+ x)^5- 1}{x}= \frac{x^5+ 5x^4+ 10x^3+ 10x^2+ 5x}{x}= x^4+ 5x^3+ 10x^2+ 10x+ 5\) which has limit 5 as x goes to 0. And the derivative is \(\displaystyle \frac{4x^5- 15x^4+ 20x^3+ 10x^2}{x^2}= 4x^3- 15x^2+ 20x+ 10\) which goes to 10 as x goes to 0. The value of \(\displaystyle 3x^6+ px+ q\) at x= 0 is q and the value of the derivative is p. In order that the function be "smooth" at x= 0, p must be equal to 10 and q must be 5.
 
Last edited:
Top