how do I manipulate r(dv_theta/dr)+v_theta = c_1 r into d(rv_theta)/dr = c_1 r?

shreddinglicks

Junior Member
Joined
Apr 16, 2016
Messages
76
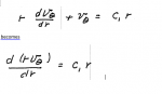
This is part of a derivation involving the Navier-Stokes equation for fluid mechanics.

How does this:

. . . . .\(\displaystyle r\, \dfrac{dv_{\theta}}{dr}\, +\, v_{\theta}\, =\, c_1\, r\)

become this:

. . . . .\(\displaystyle \dfrac{d\, (r v_{\theta})}{dr}\, =\, c_1\, r\)

How do I manipulate the problem?
 

Attachments

  • Capture.PNG
    Capture.PNG
    6.7 KB · Views: 0
Last edited by a moderator:
This is part of a derivation involving the Navier-Stokes equation for fluid mechanics.

How does this:

. . . . .\(\displaystyle r\, \dfrac{dv_{\theta}}{dr}\, +\, v_{\theta}\, =\, c_1\, r\)

become this:

. . . . .\(\displaystyle \dfrac{d\, (r v_{\theta})}{dr}\, =\, c_1\, r\)

How do I manipulate the problem?
Use the product rule for d(r v\(\displaystyle _\theta\))/dr
 
Top