How do you prove this complex summation?

Kulla_9289

Junior Member
Joined
Apr 18, 2022
Messages
237
Hi,
I have this complex summation problem. I tried my best to get to the answer but halfway through I am stuck. Can anyone please help me out?

Thanks
 

Attachments

  • 1752983578937.png
    1752983578937.png
    74.1 KB · Views: 13
  • 1752983627687.png
    1752983627687.png
    210.4 KB · Views: 12
1753031074071.png
1753031145362.png


First, what do you mean by this?

1753031376052.png
Did you mean to say the imaginary part, perhaps?

Second, have noticed the relationship between your denominator and theirs? That suggests that you are going in the right direction.
 
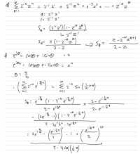
Ok I tried. I got up to this. Not sure how they got 1025
 

Attachments

  • 1753067221661.png
    1753067221661.png
    100.6 KB · Views: 5
Check your work in the numerator; I suggest showing more steps to make errors more visible.
 
Here is my approach of how to solve this problem.

\(\displaystyle \sum_{n=1}^{N}2^{-n}z^n = \sum_{n=1}^{N}\left(\frac{z}{2}\right)^n = \frac{\frac{z}{2}\left(1 - \left(\frac{z}{2}\right)^N\right)}{1 - \frac{z}{2}}\)

This result comes from the fact that the sum is a geometric series.

Now we have this sum:

\(\displaystyle \sum_{n=1}^{10}2^{-n}\sin\left(\frac{n\pi}{10}\right)\)

which is the imaginary part of:

\(\displaystyle \sum_{n=1}^{10}2^{-n}e^{in\pi/10}\)

Since \(\displaystyle e^{in\pi/10} = \cos\left(\frac{n\pi}{10}\right) + i\sin\left(\frac{n\pi}{10}\right)\),

we can solve the sum that contains the exponential and then extract the imaginary part of it.

\(\displaystyle \sum_{n=1}^{10}2^{-n}e^{in\pi/10} = \sum_{n=1}^{10}\left(\frac{e^{i\pi/10}}{2}\right)^n = \frac{\frac{e^{i\pi/10}}{2}\left(1 - \left(\frac{e^{i\pi/10}}{2}\right)^{10}\right)}{1 - \frac{e^{i\pi/10}}{2}}\)


\(\displaystyle = \frac{\frac{e^{i\pi/10}}{2}\left(1 - \left(\frac{e^{i\pi}}{2^{10}}\right)\right)}{1 - \frac{e^{i\pi/10}}{2}} = \frac{\frac{e^{i\pi/10}}{2}\left(\frac{2^{10}}{2^{10}} - \left(\frac{e^{i\pi}}{2^{10}}\right)\right)}{\frac{2}{2} - \frac{e^{i\pi/10}}{2}}= \frac{e^{i\pi/10}\left(2^{10} - e^{i\pi}\right)}{2^{10}(2 - e^{i\pi/10})}\)

We know that \(\displaystyle e^{i\pi} = -1\), then

\(\displaystyle \sum_{n=1}^{10}2^{-n}e^{in\pi/10} = \frac{e^{i\pi/10}\left(2^{10} + 1\right)}{2^{10}(2 - e^{i\pi/10})} = \frac{(2^{10} + 1)(\cos \pi/10 + i\sin \pi/10)}{2^{10}(2 - \cos \pi/10 - i\sin \pi/10)}\)

Multiply the numerator and the denominator by \(\displaystyle (2 - \cos \pi/10 + i\sin \pi/10)\)

\(\displaystyle \color{red} \bold{numerator:}\)\(\displaystyle (\cos \pi/10 + i\sin \pi/10)(2 - \cos \pi/10 + i\sin \pi/10) = 2\cos\left(\frac{\pi}{10}\right) - 1 + 2i\sin\left(\frac{\pi}{10}\right)\)
\(\displaystyle \color{blue} \bold{denominator:}\)\(\displaystyle (2 - \cos \pi/10 - i\sin \pi/10)(2 - \cos \pi/10 + i\sin \pi/10) = 5 - 4\cos\left(\frac{10}{\pi}\right)\)

This gives:

\(\displaystyle \sum_{n=1}^{10}2^{-n}e^{in\pi/10} = \frac{(2^{10} + 1)\bigg[2\cos\left(\frac{\pi}{10}\right) - 1 + 2i\sin\left(\frac{\pi}{10}\right)\bigg]}{2^{10}\bigg[5 - 4\cos\left(\frac{10}{\pi}\right)\bigg]}\)

Take the imaginary part of this result.

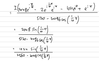
\(\displaystyle \sum_{n=1}^{10}2^{-n}\sin\left(\frac{n\pi}{10}\right) = \frac{(2^{10} + 1)\bigg[2\sin\left(\frac{\pi}{10}\right)\bigg]}{2^{10}\bigg[5 - 4\cos\left(\frac{10}{\pi}\right)\bigg]} = \frac{1025\bigg[2\sin\left(\frac{\pi}{10}\right)\bigg]}{1024\bigg[5 - 4\cos\left(\frac{10}{\pi}\right)\bigg]} = \frac{1025\bigg[\sin\left(\frac{\pi}{10}\right)\bigg]}{512\bigg[5 - 4\cos\left(\frac{10}{\pi}\right)\bigg]}\)

\(\displaystyle \textcolor{green}{\textbf{Finally.}}\)

\(\displaystyle \sum_{n=1}^{10}2^{-n}\sin\left(\frac{n\pi}{10}\right) = \frac{1025\sin\left(\frac{\pi}{10}\right)}{2560 - 2048\cos\left(\frac{10}{\pi}\right)}\)
 
Last edited:
\(\displaystyle \color{blue} \bold{denominator:}\)\(\displaystyle (2 - \cos \pi/10 - i\sin \pi/10)(2 - \cos \pi/10 + i\sin \pi/10) = 5 - 4\cos\left(\frac{10}{\pi}\right)\)
Not here that I unintentionally wrote \(\displaystyle \cos\left(\frac{10}{\pi}\right)\). It should be \(\displaystyle \cos\left(\frac{\pi}{10}\right)\) instead.
 
Top