I can't understand how to do this ratio problem: 9a:7c = 4:7, 3b:5c = 5:3; show that a+b:b+c = 29:34

Raanikeri

New member
Joined
Nov 27, 2021
Messages
30
1709145495352.png

I was able to combine the a's, b's and c's into one ratio

1709145537386.png

But I am stuck on how to do the numbers side.

I do have the answer scheme, which is this below, but I don't really understand how they got the answer:

1709145686645.png

Can anyone explain, please?
 
View attachment 37261

I was able to combine the a's, b's and c's into one ratio

View attachment 37262

But I am stuck on how to do the numbers side.

I do have the answer scheme, which is this below, but I don't really understand how they got the answer:

View attachment 37263

Can anyone explain, please?
Express a through c and b through c. Plug in the resulting expressions into the left side of the 3rd equality, simplify. Do you get 29/34?
P.S. Is this standard notation not to use parentheses in a + b : b + c????
 
View attachment 37261

I was able to combine the a's, b's and c's into one ratio

View attachment 37262

But I am stuck on how to do the numbers side.

I do have the answer scheme, which is this below, but I don't really understand how they got the answer:

View attachment 37263

Can anyone explain, please?
It might be easier to look at it in fractions.

[math]9a:7c = 4:7 \implies \dfrac{9a}{7c} =\dfrac{4}{7} \implies \dfrac{a}{c} = \dfrac{7}{9} \times \dfrac{4}{7} = \dfrac{4}{9} \implies a:c = 4:9[/math]
A similar process for the second ratio to arrive at [imath]b:c = 25:9[/imath]

The second step. For every [imath]9c[/imath], how many [imath]b[/imath] do you have?
[math]9c \times \dfrac{25b}{9c} = 25b \implies a:b:c = 4:25:9[/math]
I think the last part is self-explanatory.
 
P.S. Is this standard notation not to use parentheses in a + b : b + c????
In the context of ratios, I don't see any case that could be ambiguous, ergo no need for parenthesis. Can you think of a case where it's ambiguous?
 
Express a through c and b through c. Plug in the resulting expressions into the left side of the 3rd equality, simplify. Do you get 29/34?
P.S. Is this standard notation not to use parentheses in a + b : b + c????
This is an actual question from last year's GCSE exam (Higher Maths) in England, paper 2. I don't think we've been taught to use parentheses in such cases, no. But this is quite an unusual ratio question to be honest, compared to the ones from the past papers - one of the rare tricky ones.
 
Last edited:
It might be easier to look at it in fractions.

[math]9a:7c = 4:7 \implies \dfrac{9a}{7c} =\dfrac{4}{7} \implies \dfrac{a}{c} = \dfrac{7}{9} \times \dfrac{4}{7} = \dfrac{4}{9} \implies a:c = 4:9[/math]
A similar process for the second ratio to arrive at [imath]b:c = 25:9[/imath]

The second step. For every [imath]9c[/imath], how many [imath]b[/imath] do you have?
[math]9c \times \dfrac{25b}{9c} = 25b \implies a:b:c = 4:25:9[/math]
I think the last part is self-explanatory.
I get the first part of your explanation. I don't really get the second step though. Can you explain how you got that?
 
Express a through c and b through c. Plug in the resulting expressions into the left side of the 3rd equality, simplify. Do you get 29/34?
P.S. Is this standard notation not to use parentheses in a + b : b + c????
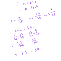
Took me a while to understand what you said, but I tried it and got the answer.

1709151452802.png
 
Last edited:
I get the first part of your explanation. I don't really get the second step though. Can you explain how you got that?
Looking at 2 ratios from step 1 i.e. [imath]a:c = 4:9[/imath] and [imath]b:c = 25:9[/imath]

Since [imath]c[/imath] is common in both ratios, I'm looking to relate the two. From ratio 1, for every 4a, I get 9c. If I have 9c, how many b's do I get? The second ratio tells me for every 9c I get 25b.
 
Looking at 2 ratios from step 1 i.e. [imath]a:c = 4:9[/imath] and [imath]b:c = 25:9[/imath]

Since [imath]c[/imath] is common in both ratios, I'm looking to relate the two. From ratio 1, for every 4a, I get 9c. If I have 9c, how many b's do I get? The second ratio tells me for every 9c I get 25b.
Ah, got it. Thank you. Thank you both for your explanations. Both of you helped me understand how to do this question.
 
Top