ScrollChamp
New member
- Joined
- Apr 16, 2021
- Messages
- 2
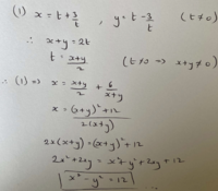
There is a question about parametrics; x=t+3/t and y=t-3/t
I found the cartesian equation by rearranging the x equation into the quadratic form and solving for t=(x+/-sqrt(x²+12))/2 which I then substituted into y for y = quadratic - 3/quadratic.
Then there is the question to find the equation for the normal at point (4,-2). The abundance of +/-'s started to worry me and making me second guess myself. Is the question itself complicated or did I do it wrong?
I found the cartesian equation by rearranging the x equation into the quadratic form and solving for t=(x+/-sqrt(x²+12))/2 which I then substituted into y for y = quadratic - 3/quadratic.
Then there is the question to find the equation for the normal at point (4,-2). The abundance of +/-'s started to worry me and making me second guess myself. Is the question itself complicated or did I do it wrong?
