Im(c^2)=(2-i)c: I managed to transform it to 2xy = 2x + 2yi - xi + y, but...

kswr

New member
Joined
Jan 28, 2024
Messages
2
Hello, I've got this problem with complex numbers equation.
[math]Im(c^2)=(2-i)c[/math]I managed to transform it to following form (x for real part and y for imaginary):
[math]2xy=2x+2yi-xi+y[/math]Which yields correct results after typing into wolfram - I am comparing it with answers in my textbook
[math]x=\frac{5}{2}, y=\frac{5}{4} \therefore c=\frac{5}{2}+\frac{5}{4}i[/math]but wolfram does not provide step-by-step solution for this equation, so I don't know how it actually got from simplified equation to final result.
 
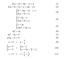
Thank you, with this hint I got following solution (I am not able to insert LaTeX code in environments, so I attach screenshot)
Screenshot 2024-01-29 at 19.45.11.png
 
I got the same, so there is a good chance the answer is correct.

As for the pain the "true LaTeX" users experience when using KaTeX (the LaTeX variety used on this forum), you can try reading the docs, but bear in mind that the version described in katex.org is newer than the version used on the forum -- you might find my thread on the subject informative. For long posts I usually start with "true LaTeX" (with some custom-made macros for compatibility with KaTeX), then copy-paste it to the forum.
 
Top