Dudeconomics
New member
- Joined
- Apr 11, 2020
- Messages
- 2
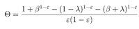
Hi folks! I'm struggling to prove the following inequality: theta>0 such that

With restrictions beta>1 and 0<lambda<1. Epsilon is a real-valued parameter. So far I've tried a lot of manipulations, including using the Bernoulli's inequality. I've tried data simulation using several values for the parameters, and all simulations indicated theta>0. Any hint? Thanks!
With restrictions beta>1 and 0<lambda<1. Epsilon is a real-valued parameter. So far I've tried a lot of manipulations, including using the Bernoulli's inequality. I've tried data simulation using several values for the parameters, and all simulations indicated theta>0. Any hint? Thanks!