Aminta_1900
New member
- Joined
- Sep 19, 2022
- Messages
- 38
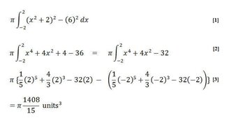
"Find the volume generated when the area between the curve y = x^2 + 2 and the line y = 6 is rotated about the x-axis."

I understand that this would form a ring-shape of sorts, but am I right in using this method below to obtain the given answer? Only the answer in my text book gives simply "295 (3 s. f.)" without using Pi.


I understand that this would form a ring-shape of sorts, but am I right in using this method below to obtain the given answer? Only the answer in my text book gives simply "295 (3 s. f.)" without using Pi.
