I was doing a binomial expansion worksheet, and I think one of these answers is wrong. I just want to make absolutely sure I'm not going crazy.
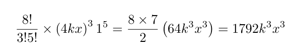
The above is wrong, is it not? [imath]\frac {8!}{3!5!}[/imath] does not equal [imath]\frac {56}{2}[/imath], it's just [imath]56[/imath]. Therefore the coefficient of [imath]k^3x^3[/imath] is [imath]56(64) = 3584[/imath], not [imath]28(64) = 1792[/imath] - if I'm not mistaken.
Thanks in advance for any help.

The above is wrong, is it not? [imath]\frac {8!}{3!5!}[/imath] does not equal [imath]\frac {56}{2}[/imath], it's just [imath]56[/imath]. Therefore the coefficient of [imath]k^3x^3[/imath] is [imath]56(64) = 3584[/imath], not [imath]28(64) = 1792[/imath] - if I'm not mistaken.
Thanks in advance for any help.