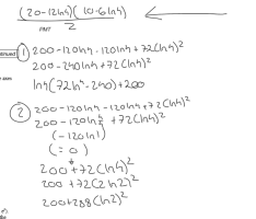
i tried to do thisWhy did you cancel out [imath]-120 \ln 4[/imath] ?
you dont know how much injustice i've faced cause of my poor 4s.. ill remember next time I post on here though hahaA small aside @annaanna...
Are these squiggles meant to be fours? View attachment 37517
May I suggest that you start writing your fours using two (distinct) strokes, eg: View attachment 37515
like you would (I hope) write a "t", eg: View attachment 37516
Not just for our benefit but for the benefit of anyone who is faced with deciphering your handwriting. Some people might take one look at your script and think: "I'm not spending time trying to figure out what's been written there!
We can't help if we don't know what you're asking.
You're not the worst offender by the way.
But please do try to make everything legible.![]()
But both logs have the same sign.i tried to do this
Sorry, but you can't claim it to be unjust when they're so poorly rendered!you dont know how much injustice i've faced cause of my poor 4s.. ill remember next time I post on here though haha
okay by around tomorrow I'll be a log expert and update this with the correct thingBut both logs have the same sign.
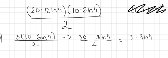
simplify it in terms of lnWhat are you needing to do with this expression? Simplify it? Or is it part of an equation?
its funny how easily maths rules can change when you're struggling,,, i was hoping that since they both had - signs that was good enough for the equation to workYes, ln(4) - ln(4) = 0. Whenever you subtract the same exact quantities you always get 0. There is no need to go from ln(4) - ln(4) = ln(4/4) = ln(1) = 0.
The issue is that you did NOT have ln(4)-ln(4)! You had -ln(4)-ln(4) = -2ln(4) or ln(16)
There is/was no "rule" like that...........they both had - signs that was good enough for the equation to work
Like I said - "there was no rule like that" and no rule changed due to your struggle.........how easily maths rules can change