panda_eyes
New member
- Joined
- Apr 19, 2022
- Messages
- 1
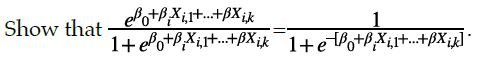
Hi all, I'm currently taking a module on predictive modelling and it involves the use of logistic functions. I couldn't understand how the function on the left will result in getting a logistic function on the right.
I've been cracking my heads and looking up the internet for answers. Unfortunately, I still couldn't understand.
Would really appreciate it if someone can explain it to me step-by-step. Thank you so much! I've attached a screenshot of the two functions below.

I've been cracking my heads and looking up the internet for answers. Unfortunately, I still couldn't understand.
Would really appreciate it if someone can explain it to me step-by-step. Thank you so much! I've attached a screenshot of the two functions below.
