Maximisation of a utility function: two period intertemporal model

johnnykim

New member
Joined
Apr 9, 2016
Messages
2
I'm working on a two period intertemporal model. I have managed to find the utility function but I seem to have problems finding the first order and maximising it. The utility function is:

. . .
attachment.php


I just need help finding the first order with respect to C1 where
attachment.php
and maximising it.

Thanks
 

Attachments

  • equation.JPG
    equation.JPG
    17.5 KB · Views: 2
  • budget.JPG
    budget.JPG
    11.5 KB · Views: 2
  • utility.JPG
    utility.JPG
    14.4 KB · Views: 2
  • zero.JPG
    zero.JPG
    14.4 KB · Views: 2
Last edited:
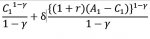
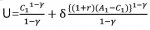
I'm working on a two period intertemporal model. I have managed to find the budget constraint and the objective function but I seem to have problems finding the first order and maximising it. The objective function is:

. . . . .\(\displaystyle \large \dfrac{C_1^{1-\gamma}}{1\, -\, \gamma}\, +\, \delta\, \dfrac{\left\{(1\, +\, r)\, (A_1\, -\, C_1)\right\}^{1 - \gamma}}{1\, -\, \gamma} \)
To be a "function", there needs to be an "equals" sign and the functional statement ("f(x)", "U(C1, C2)", etc) on the other side.

When you reply with that information, please provide a clear listing of your thoughts and efforts so far, keeping in mind that folks here are likely only to know about the math. Any assumptions, definitions, relationships, etc, implicit in your economics modelling will need to be stated, as necessary, in order for us to know what's going on. Thank you! ;)
 
Top