burgerandcheese
Junior Member
- Joined
- Jul 2, 2018
- Messages
- 85

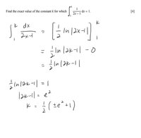
What am I missing? the answer key says k = 1/2 (e²+1) but that would mean that they did ln(2k-1) instead of ln|2k-1| ? why?
My teacher said it's because "the answer of ln can only be positive despite its input being positive or negative" what did she mean by that?
edit: nevermind, I just realised why after graphing 1/(2x-1).
Last edited: